RSS订阅
【书香滴人】学数学,我们都是可以的!
搜索
首页
首页
数与式
实数的有关概念
正数和负数
数轴
相反数
有理数
绝对值
比较有理数的大小
科学计数法
近似数
平方根
立方根
实数
实数的大小比较
算数平方根
实数的运算
有理数的加法和减法
有理数的乘法与除法
有理数的乘方
有理数的混合运算
整式与因式分解
列代数式表示数量关系
代数式的值
整式
整式的加法与减法
整式的乘法
整式的乘法公式
因式分解
分式
分式的概念
分式的运算
方程与不等式
方程(组)的有关概念
方程的有关概念
一元一次方程
一元二次方程
二元一次方程组
解方程(组)
解一元一次方程
解二元一次方程组
解一元二次方程
解分式方程
不等式(组)的有关概念
不等式的概念
一元一次不等式
一元一次不等式组
解不等式(组)
解一元一次不等式
解一元一次不等式组
解一元二次不等式
方程(组)与不等式(组)的实际应用
一元一次方程(组)的应用
二元一次方程(组)的应用
一元二次方程的应用
一元一次不等式(组)的应用
函数及其图像
平面直角坐标系
平面直角坐标系的有关概念
平面直角坐标系的应用
函数的概念
变量与函数概念
一次函数的概念
反比例函数的概念
二次函数的定义
函数的图像和性质
一次函数的图像和性质
反比例函数的图像和性质
二次函数的图像和性质
函数解析式的确定
一次函数解析式的确定
反比例函数解析式的确定
二次函数解析式的确定
函数与方程、不等式的关系
一次函数与方程、不等式
反比例函数与方程、不等式
二次函数与方程、不等式
函数的应用
一次函数的应用
反比例函数的应用
二次函数的应用
统计与概率
统计
全面调查
扇形图的画法
抽样调查
简单随机抽样
直方图
平均数
中位数和众数
数据的波动程度
概率
随机事件与概率
用列举法求概率
用频率估计概率
三角形
几何初步有关概念
几何图形
直线、射线、线段
角
相交线
平行线及其判定
平行线的性质
三角形与多边形的性质
三角形的概念
与三角形有关的线段
三角形的内角与外角
等腰三角形
等腰三角形的概念和性质
等腰三角形的判定
尺规作图
等边三角形
直角三角形
勾股定理
勾股定理的逆定理
锐角三角函数
锐角三角函数的概念
特殊角的三角函数
解直角三角形
锐角三角函数应用
全等三角形
全等三角形及其性质
三角形全等的判定
角的平分线
相似三角形
图形的相似
相似三角形的判定
相似三角形的性质
相似三角形应用
位似
四边形
平行四边形
平行四边形的定义和判定
平行四边形的性质
矩形
矩形的定义和判定
矩形的性质
菱形
菱形的定义和判定
菱形的性质
正方形
正方形的定义和判定
正方形的性质
圆
圆的基本概念及性质
圆的有关概念
垂直于弦的直径
弧、弦、圆心角
圆周角
与圆有关的位置关系
点和圆的位置关系
直线和圆的位置关系
圆和圆的位置关系
弧长、扇形面积的相关计算
弧长的计算
扇形面积的计算
正多边形和圆
正多边形的概念和性质
正多边形和圆
图像的变化
轴对称
图形的轴对称
画轴对称的图形
图形的平移
平移的概念和性质
平移相关应用
图形的旋转
旋转的概念和性质
中心对称
中心对称图形
关于原点对称的点的坐标
投影与视图
投影的有关概念
三视图的有关概念
投影与三视图的应用
几何综合
手拉手模型
一线三等角模型
半角模型
对称模型
倍长中线模型
代数综合
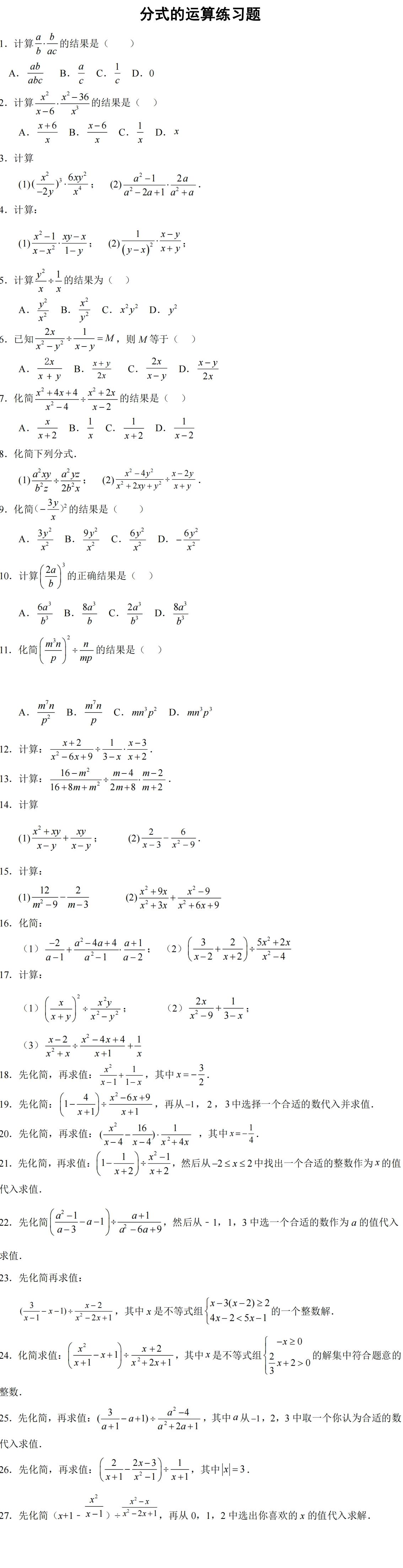
分式的运算练习题
2025-11-28 03:11:55
我爱数学学习
数与式
10
0
标签:
分式运算 练习题
评论
评论正在提交中...请稍后
评论提交成功...
评论
查看更多